굴삭기운전기능사실기를 처음 볼때는 각 시험장별로 굴삭기 기종이 모두 동일한 줄 알았습니다.
시험 일정이 엇갈려 굴삭기와 지게차를 다른 시험장에서 보게 되었는데,
시험장별로 굴삭기 기종이 다른것이 확인되었습니다.
굴삭기 베테랑은 모르겠지만, 처음 시험을 보는 분들은 기종이 달라지면 아무래도 불리해질 수 밖에 없습니다.
저도 굴삭기 실기 두번째 합격을 하였지만, 굴삭기 기종이 다르다보니, 1차 불합격 후 시험장을 다른곳으로 이동하려 하다가, 그래도 한번이라도 운전을 해본 곳이 좋을것 같아서 2차 시험도 동일한 시험장을 선택하게 되었고, 합격을 하였습니다.
그래서, 시험장별 기종을 체크해 보니, 각 시험장별 기종이 다양했습니다.
중장비 크기에 대한 규격이 있어서 회사는 다르지만, 굴삭기 기종 크기는 130에서 145까지로 가이드라인이 되어 있는것 같습니다.
가장 많이 사용되는 굴삭기 회사는 볼보, 두산, 현대 굴삭기가 있고, 전남 벌교에 삼성굴삭기가 한대 있고, 구미에 캐터필러 굴삭기가 눈에 띄네요.
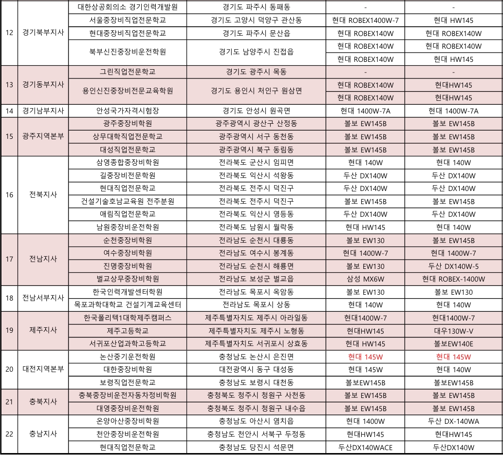
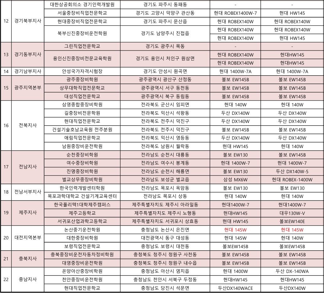
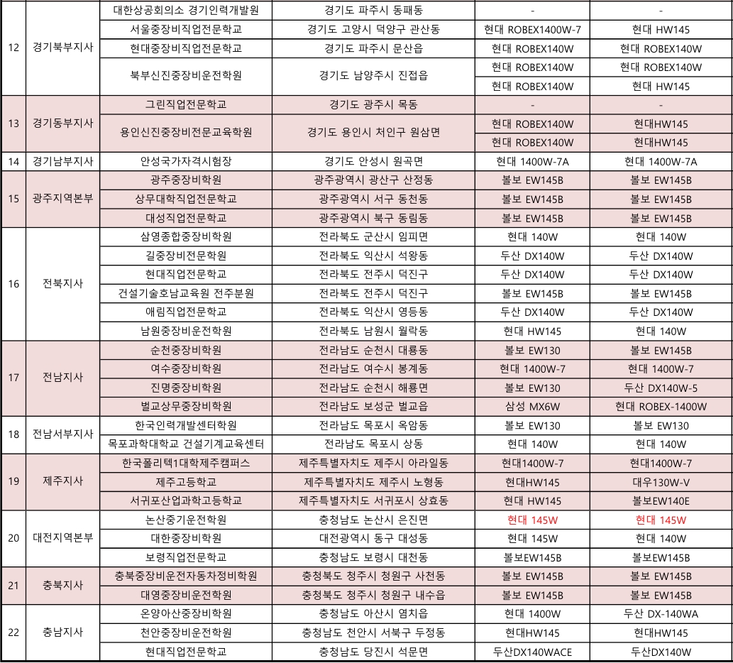
아래표는 시험장 소재지와 굴삭기 장비기종 표입니다.


그리고, 제가 시험을 본 시험장과 확인을 해보지는 않았지만, 거의 모든 시험장에서는 코스용 굴삭기가 있고, 작업용 굴삭기가 따로 있는것 같습니다. 표를 봐도 코스용과 작업용 굴삭기가 다른 기종인것을 봐서도 그게 맞을것 같네요.
두대의 굴삭기중 코스용이 조금 더 신형에 가까운것 같고, 굴착용은 코스용보다는 조금 더 연식이 되어 보이는 것이 일반적인것 같습니다. 아무래도 굴착시 조종미숙으로 고장의 확률이 높아서 그러한 점을 고려한것 같습니다.
제가 본 시험장도 코스용은 신형 두산 DX140W 였는데, 굴착 작업용은 아주 오래된 대우130W 였습니다.
그래서 굴착시 RPM을 최대로 올리고 작업을 한 기억이 나네요.
아래 굴삭기 사진은 아마 각 시험장에 가시게 되면 하나 정도는 아래 굴삭기를 보시게 될 것 같습니다.

현대 ROBEX140W 모델입니다. 리스트를 보니, 현대와 볼보와 두산이 대략 30% 정도씩은 차지하는것 같습니다.

볼보 EX145B모델입니다. 볼보 모델도 생각보다는 많은 시험장에서 사용이 되네요.

그리고, 이 모델은 제가 코스용으로 사용했던 두산 DX140W 모델이네요. 웹사이트에서 제원을 살짝 보니, 총량이 16톤 정도 나가는데, 시험을 볼때만 해도 무게가 16톤까지 나가는지는 몰랐네요.
두산중공업에서 현재 생산되는 굴삭기를 체크해 봤는데, 재미있는 사실을 몇개 발견하게 되었습니다.
굴삭기 크기별로 나와 있는데.. 두산중공업에서는 현재 16종의 굴삭기를 판매하네요.
1.9톤 초미니 굴삭기 부터 79톤 초대형 굴삭기 까지 나와 있는데, 시험장에서 사용하는 기종은 약 16톤으로 16개 모델중에 딱 중간인 8번째 크기가 됩니다.
그리고, 일반적으로 이정도의 크기가 일상에서 가장 많이 사용되는것 같기도 합니다.
각 회사마다 모델명은 다르지만, 아래 리스트를 보니 모델명에 사용되는 중간의 숫자(예를 들어 130, 140, 145 등)은 굴삭기의 무게와 비례한다는 점을 발견했습니다. 다 아시는 사실이었나요? 암튼, 알게되니 기쁘네요.
예를 들어 DX35는 3.9톤, DX55는 6톤, DX140은 15-16톤, DX220은 22톤,DX800은 80톤 정도 나가는걸 보니, 아마 다른 회사도 비슷한것 같습니다. 예전에는 그냥 굴삭기가 지나가면 회사명 정도만 봤는데, 이제 굴삭기가 지나가면 모델명을 보게 될것 같은 느낌같은 느낌이 드네요.
자동차 회사마다 모델명은 달라고 CC별로 숫자가 붙는것 같은 원리인것 같습니다.



굴삭기를 보니, 쓸일이 있으면, 미니 굴삭기는 하나 구입하고 싶어지네요.
시험 준비 잘 하시고, 꼭 합격하시길 바랍니다.
'자격증 > 굴착기' 카테고리의 다른 글
| 2022년 굴삭기 운전기능사 필기 실기시험 일정 (1) | 2022.01.01 |
|---|---|
| 굴삭기운전기능사 자격증 필수 기본 정보 (0) | 2021.06.16 |
| 굴삭기운전기능사 실기 시험 시뮬레이터로 연습하기 (1) | 2021.05.18 |
| 2021년도 굴삭기운전기능사 실기시험 일정 (1) | 2021.05.14 |
| 굴삭기운전기능사필기 시험 일정 및 굴삭기 자격증 합격률 (0) | 2021.05.10 |
댓글